A nyomás jele és mértékegysége bizony könnyen előjöhet az iskolai számonkérésben, dolgozatban vagy az érettségi vizsgán, amikor a számonkérés közeleg. Nagyon sokszor szokták a diákok elrontani a számítási példákban, hogy nem a megfelelő mértékegységet, vagy jelet használják a nyomással kapcsolatos számítási példák alkalmazásakor.
Annak érdekében, hogy a kérdés végére járhassunk szerettük volna ezt a rövid oktató cikket megírni. Ha szeretnél, akkor iratkozz be online felkészítő tanfolyamaink egyikére!
Mi a nyomás jele?
A nyomás jele p. A fizikusok az egész világon ezt a jelölést használják a nyomás jelének megadására.
Mi a nyomás mértékegysége?
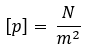
A nyomás SI mértékegysége Pa (Pascal). Ahhoz, hogy ezt a mértékegységet származtatni tudjuk, a nyomás fogalmát kell megértenünk. A nyomás nem más, mint az egységnyi felületre merőlegesen ható erő. A nyomás fogalmából következik, hogy

amiből a nyomás SI mértékegysége rögtön megállapítható:

Természetesen az alábbi mértékegységek is megfelelőek:

	
Ez utóbbi kettő sokkal elterjedtebb, hiszen 1 Pa nyomás önmagában véve nagyon pici. A gyakorlatban kPa-t (10^3 Pa-t vagy) MPa-t (10^6 Pa-t) használunk.
A műszaki gyakorlatban a 1 Pa 100.000-szeresét Mega Pascalnak (Mpa-nak) nevezzük. Azaz

A légköri nyomás értéke körülbelül 1bar. Ha a víz alá merülünk, akkor nagyjából 10m-enként nehezedik ránk plusz 1 bar nyomás.
Mit szoktak a diákok a legtöbbször elrontani?
A leggyakoribb hiba, hogy a nyomás fogalmát, illetve jelölését, mértékegységét összekeverik az erővel. Ez azért számít súlyos hibának, mert az egyik a tiszta erőhatást fejezi ki, míg a másik az erőhatás egységnyi felületre vonatkoztatott értékét. Szintén nagyon gyakori hiba, hogy amikor a feladat a nyomás értékét Mpa-ban adja meg, vagy kpa-ban, akkor nem tudják értelmezni ezen mértékegységeket.
Összefoglalás
A nyomás fogalma egy olyan fogalom a fizikában, melyet mindenképp ismerni kell mindenkinek – hiszen az alapvető emberi műveltséghez tartozik. Amire nagyon figyeljünk oda, hogy a nyomás mértékegységeit tudjuk jól kezelni.

 
     
            