Pascal törvénye a fizika egyik olyan fontos tétele, amely nem csupán az iskolapadban talál meg minket, hanem a mindennapjainkban is megjelenik – gondoljunk csak a víztartályokra. Szintén nagy gyakorlati haszna van a törvénynek a különféle vízvezetékrendszerek felépítésekor és tervezésekor.
Mi Pascal törvénye?
Pascal törvénye egyaránt érvényes gázokra és folyadékokra. A törvény kimondja, hogy zárt térben lévő folyadékban vagy gázban a külső erő okozta nyomás minden irányban gyengítetlenül tovaterjed. Pascal törvénye a hidrosztatika alaptörvénye.
A tapasztalatok szerint a folyadékok nem összenyomhatók, és azok térfogata sem változik az összenyomáskor. Mivel a folyadék összenyomhatatlan, és a részecskék könnyen rendeződnek, nem lép fel csúsztató feszültség, ezért a külső nyomás minden irányban gyengítetlenül terjed tovább.
A törvény tulajdonképpen azt mondja ki, hogy egy nyugalomban levő folyadék vagy gáz minden azonos magasságban levő pontján megegyezik a nyomás nagysága. Pascal törvénye kimondja, hogy a nyugvó folyadék nyomáskülönbsége két pont között

ahol

Milyen körülmények között érvényes Pascal-törvénye?
Ne essünk abba a hibába, hogy azt gondoljuk, hogy bármely körülmények közt érvényes ez a törvényszerűség. Az alkalmazásához az alábbi kritériumokra van szükség:
- Zárt tartályban levő folyadék vagy gáz
- Nyugvó állapot
- Súlytalan állapot
Kísérlet
Vegyünk egy nejlonzacskót, melyet lyukasszunk ki különböző pontjain egy tűvel, nagyjából egyenletesen annak felületén. Töltsük meg gyorsan vízzel, és kezdjük el összenyomni a zacskót. Azt fogjuk tapasztalni, hogy a lyukakon egyenletes ütemben távozik a víz. Ennek az az oka, hogy a nyomás egyenletesen oszlik el a zacskóban az összenyomás hatására.
A fenti kísérlet lényegében megegyezik a Pascal-féle vízi buzogánnyal, ami tulajdonképpen egy sok helyen kilyukasztott üveglombikból és egy nyomódugattyúból áll.
Vegyünk egy felfújt léggömböt. Kezdjük el összenyomni annak a felületét! Ekkor azt tapasztaljuk, hogy a léggömb minden egyéb pontján egyenletesen feszesebb lesz annak műanyag felülete. Ez azt jelenti, hogy az extra nyomás, melyet létrehoztunk, mindenhol egyformán érzékelhető.
A Pascal törvény alkalmazásai
- Hidraulikus sajtók, emelők
- Víztornyok
- Vízzáró gátak
- Hőlégballonok
- Fékrendszerek
Amikor búvárkodni készülünk, akkor is fontos meggondolni Pascal törvényét. Még abban az esetben sem fog ránk nagyobb nyomás hatni, ha éppen a hajó alatt úszunk el. Minél mélyebbre merülünk el, annál nagyobb lesz a nyomás, körülbelül 10m mélyen a ránk ható nyomás a felszíni nyomás duplája lesz. Szintén Pascal törvényéből következik – ha a felírt egyenleteket vizsgáljuk – hogy körülbelül 10m-enként egy atmoszférányi plusz nyomás nehezedik majd ránk.
Hogyan működik egy hidraulikus emelő?
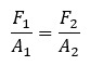
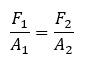
A mai műszaki gyakorlatban az úgynevezett hidraulikus emelők igen elterjedtek. Ezeknek a működése szintén Pascal törvényére vezethető vissza. Egy adott zárt térben levő folyadék tartályból két dugattyú nyílik ki a két oldalon. A két dugattyú keresztmetszete legyen A1 és A2 Amennyiben Az A1 dugattyút F1 erő terheli, akkor ennek hatására a másik oldalon megjelenik egy F2 erő. A nyomások egyenlőségéből adódik, hogy

Amennyiben A2 jelentősen nagyobb mint A1, az itt megjelenő erő sok lényegesen nagyobb lesz – ez a hidraulikus emelő elve.
A gyakorlatban hidraulikus emelőket használnak például autók megemelésére, vagy pedig a kukásautók présgépe, hogy minél több szemetet tudjon egyszerre elvinni.
Érvényes-e Pascal törvényére az energiamegmaradás?
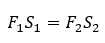
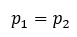
Természetesen igen, sőt, ennek a meggondolásával vezethető le könnyedén Pascal törvénye. Vegyünk egy két kivezetéssel rendelkező lombikot, ahol a két kivezető cső felületei A1 és A2. A1 dugattyút kezdjük el F1 erővel mozgatni a lombik belseje felé. Ekkor a másik kivezetésen F2 erő ébred, melynek a nagysága ismeretlen számunkra. Amennyiben lassú a mozgatás, a folyadék mozgási energiájának változása minimális lesz. Ha a munkatételt felírjuk, akkor az alábbi egyenlet érvényes:

Mivel az ideális folyadék összenyomhatatlan, ezért a meggondolás alapján

A két egyenletet osszuk el egymással!

Ez pedig a nyomások egyenlőségét mondja ki, ami tulajdonképpen Pascal törvénye.
Egy kis érdekesség
Ahogy ezt már nagyon sokszor megszokhattuk a tudományban, ez a fizikai törvény is egy neves tudós nevéhez köthető. Blaise Pascal francia tudós nevét elsősorban a fizikából ismerjük, azonban jelentőset alkotott a matematika, irodalom vagy teológia terén is. A nyomás mértékegységét is róla nevezték el, ő volt az, aki megalkotta a nyomás és vákuum fogalmát.
Gyakorló feladatok
Íme, lássunk néhány gyakorló feladatot, hogy bizonyíthassuk rátermettségünket Pascal törvényéből! Az alábbi feladatok olyan példák, melyek bármikor előkerülhetnek a következő fizika témazárón, vagy pedig az érettségin.
I. Feladat
Egy búvár 18 m mélyre szeretne lemerülni. Az orvosa azt mondta neki, hogy nem tanácsos olyan mélyre lemerülnie, ahol a nyomás nagyobb, mint a légköri nyomás triplája. Lemerülhet-e a búvár az adott mélységbe?
	
Megoldás.
Mivel 10m-enként adódik hozzá a nyomáshoz egy teljes atmoszférányi, ezért 18 m mélyen a nyomás összesen 2.8 atmoszférának felel meg. Tehát a búvár lemehet az adott mélységbe, de ennél mélyebbre már nem tanácsos mennie.
II. Feladat
Egy U alakú üvegcső jobb oldali vége zárt, a bal oldali vége nyitott. A csőben alul 13,6g/cm3 sűrűségű higany található, míg a jobb szárban e fölött 35 cm magas vízoszlop található. A jobb szárban a higany fölött található levegő nyomása 0.8bar. A légköri nyomást vegyük 1bar-nak. Mekkora nyomáskülönbség van a két higanyszint között?
	
Megoldás.
Vegyük a kiinduló adatokat:
- p0 = 10^5 Pa
- p1 = 0.8*10^5 Pa
- h = 35 cm
Az egyenlet rendezésével adódik, hogy a keresett hosszúság 12.30 cm.
Kapcsolódó fogalmak
Íme, néhány olyan kapcsolódó fogalom, melyre biztosan szükséged lesz, ha a hidrosztatika rejtelmeiben el szeretnél mélyedni.
Hidrosztatika: a nyugalomban lévő folyadékokkal foglalkozó részterülete a fizikának.
Felhajtó erő: a folyadék által a test teljes felületére kifejtett eredő erő.
A nyomás: a nyomóerő és a nyomott felület hányadosaként meghatározott fizikai mennyiség.
Archimédesz törvénye: Minden folyadékba merülő testre felhajtó erő hat, amely
egyenlő a bemerülő rész által kiszorított folyadék súlyával.
Abszolút nyugalom: a folyadék részecskéi a tartályhoz rögzített koordinátarendszerhez képest nem mozognak
Viszonylagos (relatív) nyugalom: a folyadék részecskéi egymáshoz képest, illetve az edényhez képest nem mozognak.
A hidrosztatika alapegyenlete: a hidrosztatikai nyomás nagyságát adja meg, általános formája tetszőleges nyugalmi állapotban levő folyadékra felírható.
Összefoglalás
A hidrosztatika egy nagyon fontos témaköre a fizikának, hiszen a mindennapjainkban is rengeteg helyen jelenik meg. Neked iskolai tanulóként Pascal törvényét, a hidrosztatika alapegyenletét valamint Archimédész törvényét érdemes tudnod, hiszen a számonkérés leginkább ehhez kapcsolódik.
Felketettük a figyelmedet? Szeretnél felkészülni a fizika érettségire, vagy a következő témazáró dolgozatodra? Akkor iratkozz be online felkészítő tanfolyamaink egyikére!

 
     
            