Newton törvényei már az általános iskolás számonkérésben is előkerülnek. Annál is inkább, hiszen a mai modern mechanika alapját képezik. De mit is mond ki pontosan Newton I., II., III. vagy IV. törvénye? Mi a jelentősége ennek a mindennapjainkban?
Sir Isaac Newton (ejtsd nyúton) a XVII. és XVIII. század fordulóján élt fizikus, matematikus, csillagász, filozófus és alkimista.
Korának a legnagyobb zsenije volt, ami látszik abból is, hogy milyen témákkal foglalkozott. Nagyságát növeli, hogy felfedezései szinte minden területen korszakalkotók voltak.
Matematikusként a felsőbb szintű matematikával foglalkozott (differenciálszámítás, integrálszámítás) és több tétel bizonyítása a nevéhez fűződik. Csillagászként megalkotta a róla elnevezett távcsövet, amely korában korszakalkotó volt, ugyanis azt hitték, hogy a távcsövek nagyítása tovább már nem növelhető, ennek ellenére Newton készített egy olyan távcsövet, amellyel ez lehetővé vált. Filozófusként főleg vallási témákkal foglalkozott, de gondolatait nem publikálta, mert félt a kortársak gúnyolódásaitól, illetve attól, hogy eretnekké nyilvánítják.
Newton a Trinity College tanáraként egy laboratóriumot építtetett, amelyben az alkímia tudományának hódolt és aranyat szeretett volna előállítani. Bár ez nem sikerült, de közben az eszközkészítési és problémamegoldási képessége fejlődött és ez nagymértékben kihatott a munkáira.
Már az eddig említett munkái alapján is joggal mondhatjuk a kor egyik legnagyobb tudósának és nem véletlen, hogy a Trinity College-ben található mellszobra alatt ez áll:
„Aki szellemével felülmúlta az emberi nemet.”
Ezt tovább fokozva még nem volt szó a fizikában végzett munkásságáról, amely a legnagyobb hatást gyakorolta és alapjaiban változtatta meg a fizika tudományát, illetve a gondolkodásmódot.
Igazán akkor tudjuk megérteni a jelentőségét, ha elképzeljük magunkat abba a korba.
A fizikában még Arisztotelész tana érvényes, aki a földi mozgást, mint folyamatot értelmezte és azt állította, hogy a mozgás fenntartásához erőhatásra van szükség, ha nincs hatóerő, akkor nincs mozgás, a test nyugalomban van. Az égitestek mozgását külön értelmezte, mint égi szférák mozgása.

	
	
	
Arisztotelész óta több fizikus jutott érdekes felfedezésre.
Galileo Galilei (itáliai tudós) arra a következtetésre jutott, hogy a mozgás nem egy folyamat, hanem egy állapot, amely fenntartásához nem kell hatóerő, csak annak megváltoztatásához. (Ezt mi is tapasztalhatjuk, ha kerékpározunk. Akkor kell igazán erőt kifejteni, amikor elindulunk, illetve amikor fékezünk, amikor elértük az un. utazó sebességünket már alig kell tekernünk).

René Descartes (röné dékárt) - akit inkább a filozófiai munkásságáról vagy épp a matematikairól (koordináta-rendszer) ismerünk - is foglalkozott a mozgásokkal és arra jutott, hogy egy test nyugalomban marad mindaddig, amig valamely hatás nem éri, vagy változatlan sebességgel halad tovább, míg valamivel nem találkozik, ami meg nem változtatja a mozgását. (Ez hasonló a Galilei féle értelmezéshez). Galileivel ellentétben a körmozgást nem vette „természetes” mozgásnak csak az egyenesvonalút, amit úgy fogalmazott meg, hogy a tárgyak egyenes vonalban igyekeznek mozgásukat folytatni. Ezzel Galilei elméletét pontosította. A mozgásállapot-változást ütközések következményének tekintette, de az általa megfogalmazott szabályok nagy része hibás volt.

Kopernikusz (lengyel csillagász) a bolygók mozgására tett megállapítása, hogy a Föld kering a Nap körül (heliocentrikus világkép) megváltoztatta Arisztotelész geocentrikus világképét. Johannes Kepler (német csillagász és matematikus), aki Kopernikusz-i világképet tovább gondolva három törvényben foglalta össze az égitestek mozgását.

Newton a fenti tudósok munkásságára alapozva - ebben az ellentmondásokkal teli korszakban - alkotta meg a klasszikus fizikát, amely évszázadokig érvényes volt és Einstein nagysága kellett ahhoz, hogy ez változzon, vagyis még mindig használjuk, mert természeti jelenségek leírására nagyon-nagyon jó közelítéssel használható.
Newton négy törvényben fogalmazta meg a dinamika (a mozgások okainak leírása) alapját.
A mozgások vizsgálatában az első logikusan felmerülő kérdés, hogy mikor van egy test nyugalomban?
Galilei és Descartes elgondolásai alapján Newton is arra az elhatározásra jutott, hogy a mozgás az egy állapot és nem egy folyamat. A test akkor van nyugalomi állapotban, ha nem éri semmilyen más testek által létrehozott hatás. Newton ezen állapotot a világűrben képzelte, mert ott lehet a tárgy elég távol mindentől. Azt a koordináta-rendszert, amelyben a testek helyét és ezzel a mozgását meghatározzuk, valahol az űrben kell keresni. Newton ezt a rendszert az állócsillagokhoz rögzítette és inerciarendszernek nevezte. (Kialakult az abszolút tér fogalma). Itt azért meg kell jegyezni, hogy a fizikai tanulmányaink során legtöbbször ezt a rendszert, az un. vonatkoztatási rendszert, a Földhöz rögzítjük és ebben is nagyon jó közelítéssel vizsgálhatók a természeti törvények.
Ha a testre nem hat erő, akkor nyugalomban van vagy egyenesvonalú egyenletes mozgást végez, vagyis ez a két állapot dinamikai szempontból azonos, de ezt már Galilei is megfogalmazta. Ezzel a megállapítással az állócsillagokhoz rögzített inerciarendszer kis kiegészítésre szorul, ugyanis minden ezen rendszerekhez képest egyenesvonalú egyenletes mozgást végző vonatkoztatási rendszer inerciarendszernek tekinthető.
Ezek alapján Newton első törvénye, amit szoktak tehetetlenség törvényének is nevezni így hangzik:
Van olyan vonatkoztatási rendszer, amelyben minden test megtartja nyugalmi állapotát vagy egyenesvonalú egyenletes mozgását, míg egy másik test mozgásállapotának megváltoztatására nem kényszeríti.
A vonatkoztatási rendszert inerciarendszernek hívjuk és a másik test hatása megnyilvánulhat a két test közötti kölcsönhatás vagy egy test és mező közötti kölcsönhatás révén.
A testek tehetetlenségét értelmezhetjük úgy, hogy egy test önmagától nem képes a mozgásállapotának megváltoztatására, ha eddig nyugalomban volt, akkor úgy is marad, ha egyenesvonalú egyenletes mozgást végzett, akkor ugyanúgy fog a továbbiakban is mozogni.

Ezt a gyakorlatban nagyon sok helyen tapasztaljuk. Pl.: a buszon való utazáskor. Ha a busz hirtelen elindul, akkor hátra dőlünk, mert tehetetlenségünk révén meg akarjuk tartani nyugalmi állapotunkat. Ha viszont a busz hirtelen fékez, akkor előre dőlünk, mert ekkor pedig az egyenesvonalú egyenletes mozgásunkat akarjuk megtartani.
Ha már értelmeztük a nyugalom állapotát jöhet a következő kérdés.
Hogyan változik meg egy test mozgásállapota?
Az első törvényből adódik, hogy egy másik test hatására változhat a mozgásállapot, azaz gyorsulhat vagy lassulhat vagy éppen kanyarodhat a test. (A mozgásállapotot a sebességgel jellemezhetjük, amelynek iránya és nagysága is van, és ebből adódóan változhat a nagysága, illetve az iránya is!)
A mozgásállapot-változást okozó hatást nevezzük erőhatásnak, amely mértékét (számszerűsített alakját) erőnek. Hogy a test milyen mozgásállapot-változás szenved, azaz mennyire változik a sebessége, függ az erőhatás nagyságától, illetve a test egy fontos tulajdonságától, amit tömegnek nevezünk.
Nyilvánvaló, hogy minél nagyobb az erőhatás, annál nagyobb a mozgásállapot-változás (ugyanolyan tömegű testek esetén). Minél nagyobb a test tömege, annál kisebb a mozgásállapot-változás (ugyanolyan erőhatások esetén). Azaz a tömeg a test tehetetlenségének mértékét fejezi ki. (Ezt a hétköznapokban is tapasztaljuk, hogy egy nagyobb tömegű testet nehezebb mozgásba hozni!)
Összefoglalva: Newton II. törvénye képletben megfogalmazva (a dinamika alapegyenlete):

ahol:
F: a testre ható erő (amely mértékegysége Newton iránti tiszteletből Newton)
m: a test tömege (mértegysége kg).
a: a test gyorsulása (mértékegységben).

Már tisztában vagyunk azzal, hogy egy test mikor van nyugalomban, mikor mozog állandó sebességgel, illetve mikor változik a mozgásállapota.
Vizsgáljuk meg jobban azt a hatást, amikor az egyik test megváltoztatja a másik mozgásállapotát! A fizikában ezt a hatást kölcsönhatásnak nevezzük, ugyanis nemcsak az egyik test hat a másikra, hanem a másik is az egyikre (kölcsönösen).
Mielőtt megfogalmaznánk a III. törvényt, két fogalmat kell tisztázni.
Támadáspont: Az a pont, ahol az erő a testet éri.
Hatásvonal: Az az egyenes, amely áthalad a támadásponton és az erő irányába esik.
Ezt Newton a III. törvényében fogalmazta meg, amit szokás hatás – ellenhatás törvényének is nevezni.
Egy kölcsönhatás során mindig két erő lép fel, amelyeket erőnek és ellenerőnek nevezünk (mindegy, hogy melyik az erő és melyik az ellenerő), amelyekre teljesül, hogy:
- egyenlő nagyságúak
- ellentétes irányúak (ugyanaz a hatásvonaluk)
- különböző testekre hatnak (a támadáspontok különböző testeken vannak).

Eddig két test kölcsönhatásával foglalkoztunk, de a hétköznapi életben kölcsönhatások sokasága érheti a testeket pl.: egy kerékpár mozgása során hat az izomerő, amivel tekerjük, de hat a súrlódás és a közegellenállás is!
Bár Newton ennek a megállapításnak nem szánt külön törvényt, mégis a teljesség azt igényli, hogy a több kölcsönhatásra vonatkozó megállapítását Newton IV. törvényeként fogalmazzuk meg.
Newton IV. törvénye:
Ha egy test több kölcsönhatásban is részt vesz, azaz több erőhatás is éri, akkor az erők egymástól függetlenül kifejtik hatásukat (erők függetlenségének elve) és közösen határozzák meg azt (szuperpozíció elve), hogy mi fog történni a testtel.

Gyakorlatban a testre ható erőket összegezve kapjuk meg az un. eredő erőt, ami helyettesíti az erőhatásokat.
Newton ezzel a négy törvénnyel megalkotta a dinamika alaptörvényeit és letette a klasszikus fizika alapját, amely az eddig uralkodó arisztotelészi nézeteket felváltotta.
A II. törvény segítségével magyarázható volt a gravitáció, amelyet leíró összefüggés:

ahol:
g: a gravitációs gyorsulás.
A gravitációs gyorsulást vizsgálva könnyen bebizonyítható, hogy függ a Föld tömegétől, és a Földtől való távolságtól. Ezen tapasztalatokat figyelembe véve a képlet általánosan:

ahol a
G: egy állandó, az un. gravitációs állandó, mely értéke
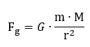
Ha a fenti képletet tovább általánosítjuk és nem ragaszkodunk ahhoz, hogy az egyik test a Föld legyen, akkor a gravitációs törvényhez jutunk:

ez az összefüggés, már érvényes bármely két testre, akár a Naprendszer bolygóira is!
Ezzel Newton egyesítette a Földi mozgásokat és az égi szférák mozgását, mert mindkét esetben ugyanazon törvények érvényesek.
A dinamika törvényei mellett az optikában is maradandót alkotott. Felfedezte, hogy a fehér fényt a prizma képes színekre bontani, illetve a színes fényt egyesítve újra fehér fényt tudunk előállítani. Az optikai ismereteit felhasználta a cikk elején említett távcső készítése során.
A klasszikus fizikát a mai napig használjuk, bár Einstein óta tudjuk, hogy a Newton által megfogalmazott abszolút tér nem létezik és ezzel a Newtoni törvények kiegészítésre szorulnak, de a természeti jelenségek nagy részénél ez az eltérés elenyésző.
	
Irodalomjegyzék:
A fizika története. https://www.uni-miskolc.hu/~www_fiz/paripas/A%20fizika%20tortenete.htm; 2021.07.26.
Dr. Erostyák János - Dr. Litz József: A fizika alapjai; Nemzeti Tankönyvkiadó; 2002
Czógler Alajos: A fizika története életrajzokban; https://mek.oszk.hu/03500/03574/html/; 2021.07.26.
	
Képek forrásai:
Sir Isaac Newton: https://commons.wikimedia.org/wiki/File:Nihal.newton_father_of_gravity.jpg
Arisztotelész: https://pixabay.com/hu/vectors/arisztotel%C3%A9sz-filoz%C3%B3fus-portr%C3%A9-6274789/
Gaileo Galilei: https://www.wannapik.com/vectors/48041
René Descartes: https://www.flickr.com/photos/rafaelrobles/4756802133
Kopernikusz: https://commons.wikimedia.org
Johannes Kepler: https://www.flickr.com/photos/esoastronomy/25623161844
	
	
	

 
     
            